在医疗OCT和工业OCT领域,高速化、高精度及国产化已成为行业发展的核心趋势。随着国内高端制造和医疗诊断需求的不断提升,市场对国产设备的性能、稳定性和适应性提出了更高要求。凌云光推出CB1000-GE1K-80S短波红外线扫相机,凭借其短波红外(SWIR)成像、高速数据传输及优异的系统兼容性,为OCT行业提供了强有力的技术支撑,助力国产设备迈向更高水平。

传统OCT系统多采用850nm波段光源,成像深度受限于波长与传感器性能。CB1000-GE1K-80S采用InGaAs传感器,支持0.9~1.7μm短波红外谱段,可适配1050nm、1300nm等OCT光源,显著提升探测深度。
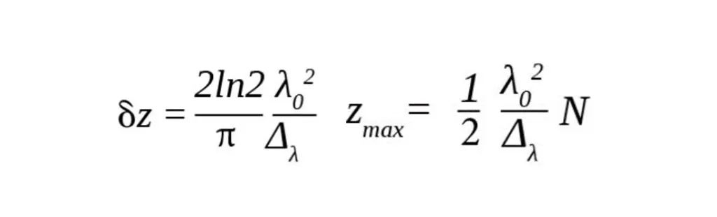
根据OCT成像理论,扫描深度(Zmax)与波长(λ)及像素数(N)的关系为:

在相同像素数(1024)条件下,使用1300nm光源相比850nm光源,理论扫描深度可提升约53%,可在深层生物组织检测(如视网膜分层、牙科)和工业材料内部缺陷分析中更具优势。
OCT系统对成像速度要求极高,传统相机在1024分辨率下通常仅能实现40kHz的线扫描速率。通过智能处理实现数据无损压缩,在保证图像质量的同时,将扫描速率提升至73kHz(提升45%以上),满足高速OCT成像需求。

其千兆网口设计,兼容主流工控设备,降低了系统集成复杂度,同时确保数据传输稳定高效,适用于便携式医疗OCT设备和工业在线检测系统。

| 产品型号 | CB1000-GE1K-80S |
| 传感器 | InGaAs |
| 像元尺寸 | 12.5 x 125μm |
| 光谱特性 | 0.9~1.7µm |
| 分辨率 | 1024 x 1 |
| 电源接口 | Hirose 12pin |
| 数据接口 | GigE |
| 镜头接口 | C |
| 工作电压 | 输入范围:10-28V ;典型值:12V |
| 相机尺寸 | 60 x 50 x 70mm |

眼科:高分辨率视网膜成像,助力青光眼、糖尿病视网膜病变等疾病的早期筛查。
牙科:穿透牙釉质成像,实现龋齿、隐裂等深层病变的无辐射检测,优于传统X光。


激光焊接熔池监测:通过SWIR波段避开强光干扰,实时调控焊接参数,提升加工质量。
半透明材料测厚:非接触式测量,适用于玻璃、薄膜等产品的生产质量控制。
2024-09-09
2023-01-28
2020-11-13
2021-12-07
2023-03-03